供热管道知识大了解!
材料特性
使用条件的确定
根据供热系统调节曲线,将全年时间划分为若干阶段,列出每个时间段的最高介质温度,可得到管道工作的时间—温度分布。有的标准根据应用领域设定了几种典型系统给出时间—温度分布,称为使用条件级别。如果设计的管道运行规律与某一使用条件级别接近,可以直接选用对应的S值。
常见的使用条件级别表中有关术语解释如下:
管壁厚度的表示方法
钢管的规格一般用 “管径×壁厚”的方法表示。
塑料管的壁厚用管系列S或标准尺寸比SDR表示,按下式计算并圆整:

常用塑料管的规格为S4(SDR9)、S5(SDR11)、S6.3(SDR13.6)、S8(SDR17)。式中dn为公称外径;en为公称壁厚。
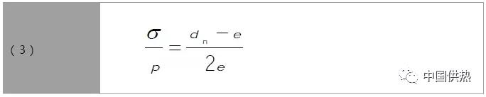
管道壁厚的计算
国家标准《冷热水系统用热塑性塑料管材和管件》GB/T18991-2003中按下式计算最小设计壁厚e:

以上公式变换一下形式即可得到下式:式中σ为设计应力;p为设计压力。由此可知,管系列S与设计应力和设计压力的比值相近。

这就是我们常见的钢管壁厚计算公式,其中设计应力在钢管计算时称为许用应力。
设计应力的确定
塑料管的设计应力,是指在规定的使用条件下材料的允许应力,即设计使用寿命(50年)末期的材料强度。
国家标准《冷热水系统用热塑性塑料管材和管件》GB/T18991-2003推荐使用Miner’s规则推算,管道材料的破坏时间tx可按下式计算:

材料在某一温度连续作用下的破坏时间ti与材料的静液压应力(环应力)有关,各种材料均有相应的预测强度曲线,可以查到不同温度和静液压应力(环应力)下的破坏时间。式中ai分别为设计温度、最高设计温度、故障温度的使用时间占总时间的分数(总和为1);ti为材料在各种温度连续作用下的破坏时间。
通过上式计算时需要进行试算,步骤如下:
a.先假设一个设计应力σ;
b.计算各种温度对应的静液压应力(环应力)σi:

c.根据温度和σi查相应材料的预测强度曲线,得到对应温度的破坏时间ti;式中Ci为各种温度对应的使用系数,即安全系数,考虑使用条件和材料性能,数值不小于1;
d.带入式(5)计算材料的破坏时间tx;
e.重复步骤a~d,经过多次试算,直到tx=50年为止,此时的σ即为设计应力。
工程设计应用
设计应力在工程设计中可用于两种计算,已知设计压力计算最小壁厚,或已知S值计算最大允许工作压力。
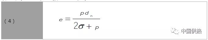
a.已知设计压力计算最小壁厚。将设计压力和设计应力代入式(3)或式(4)可算出最小壁厚,圆整后选取管系列S值。
b.已知S值计算最大允许工作压力。根据式(1)和式(3)得到下式:

室外供热管道的布置及敷设形式将管系列S值和设计应力代入式(7),可算出管道的最大允许工作压力。
室外供热管道的平面布置,应在保证供热管道安全可靠的运行前提下,尽量节约投资。其布置形式分为树植状和环状两种。
环状避免了树枝状的缺点,但是投资大,一般较少采用。
树枝状的优点:
造价低、运行管理方便。
树枝状的缺点:
当局部出现故障时,其后的用户供热被停止。
适用:对供热供应要求不严的场合。
分为地上(架空)和地下两种敷设形式。
(一)地上架空敷设
地上架空敷设是将管道安装在地上的独立支架或墙、柱的托架上。
优点:不受地下水位的影响,施工时土方最小,便于维修。
缺点:占地面积大,热损耗大,保温层易损坏,影响美观。
按支架的高度不同可分为低、中、高支架三种敷设形式。
(1)低支架敷设
这种敷设形式是管底(保温层底皮)与地面保持0.5~1m的净距。如下图所示。
(2)中支架敷设
这种敷设形式适用于有行人和大车通过处,其管底与地面的净距为2.5~4m。
(3)高支架敷设
这种敷设形式适用于交通要道或跨越公路、铁路,其净高跨越公路时为4m,跨越铁路时为6m。如上图所示。
(二)地下敷设
在城市由于规划和美观的要求,不允许地上架空敷设时可采取地下敷设。
地下敷设分为有地沟和无地沟两种,通常采用有地沟敷设。有地沟敷设又分为通行、半通行和不通行地沟三种。
(1)通行地沟敷设
适用于厂区主要干线,管道根数多(一般超过6根)及城市主要街道下。为了检修人员能在沟内自由行走,地沟的人行道宽>0.7m,高≥1.8m。
(2)半通行地沟敷设
适用于2~3根管道且不经常维修的干线。高度能使维修人员在沟内弯腰行走,一般净高为1.4m,通道净宽为0.6~0.7m。
(3)不通行地沟敷设
适用于经常不需要维修,且管线根数在两条之内的支线。两管保温层外皮间距>100mm,保温层外皮距沟底120mm,距沟壁和沟盖下缘>100mm。
(4)无地沟敷设
无地沟敷设是将普通管道直接埋在地下土层中。其热损耗大,防水也难处理。过去,除了原油输送管道的蒸汽伴热管采用此种敷设形式外,均不采用无地沟敷设。随着室外直埋保温技术的发展,无地沟敷设应用越来越广泛。
判断下面几种情况属于哪种敷设形式。
一、蒸汽供热管道的放水和排气装置
(一)蒸汽管道的疏水和排水装置
为了保证管道的正常运行,及时地排除管道内的凝结水,蒸汽管道应设置疏水和启动排水装置。
1、蒸汽管道的疏水装置
蒸汽管道正常运行时,由于在输送过程中沿途不断散热(热损耗),蒸汽将产生凝结水。蒸汽干管内的凝结水通过疏水器引至凝结水干管;然后沿其干管送回到锅炉房的凝结水箱。
蒸汽管道的疏水装置应设在下列各处:
(1)蒸汽管道的各低点;
(2)垂直升高的管段之前;
(3)水平管道每隔50m设一个;
(4)可能凝集凝结水的管道闭塞处。
蒸汽管道的疏水装置如下图所示:
2、蒸汽管道的启动排水装置
蒸汽管道系统在初次输送蒸汽(启动)时,由于蒸汽的温度高,管道的温度低,将产生大量(且脏)的凝结水。光靠疏水器排出是不够的,必须设置单独的启动排水装置,将启动时排出的水引至集水坑,然后自流或泵送至下水道。
蒸汽管道的启动排水装置应设在下列各处:
(1)启动时有可能积水的最低点;
(2)管道拐弯或垂直升高的管段之前;
(3)水平管道上,每隔100~150m设一个;
(4)水平管道上,流量测量装置的前面。
(二)蒸汽和凝结水管道的排空气装置
蒸汽管道安装完毕,管道内充满着空气,在管道进行水压试验和启动运行时,需将空气全部排尽;凝结水管道内也存在着空气(空气属于不凝性气体),它在管道内容易形成气塞而阻碍凝结水的流通,因此必须及时地将空气排除。
1、蒸汽管道的排空气装置
在蒸汽管道的高点设手动放空气阀(平时不用),当管道系统进行水压试验(向管道内充水)或初次通过蒸汽运行时,利用此阀排出管道系统内的空气。
2、凝结水管道的排空气装置
通常在凝结水干管的始端(高点)设自动放空气阀。若采用不带排气阀的疏水器时,在疏水器的前方也应装设放空气阀,以便在系统运行过程中能及时地排除凝结水管道内的空气。
热水供热管道包括供水和回水两种管道。在供水和回水管道上均应设置放水和排气装置。
(一)供、回水管道的排空气装置
在供、回水管道上设置排空气装置的目的有二:一是防止系统在运行过程中由于空气的聚集而形成气塞,阻碍热水的流通并产生噪声;二是管道水压试验前在向管道内充水时,需用此装置排出管道内的空气。如下图所示。
排气装置包括排气阀(一般为DN15~DN25)及其前后的短管,其位置通常设在供、回水干管的高点和分段阀之间管段的高点。
(二)供、回水管道的放水装置
在供、回水管道上设置放水阀的目的一是管道水压试验后,为防止冬季冻坏管道,利用此装置将试压用水全部排尽;二是系统停运检修时,需用此装置将检修段内的水排放净。
放水装置包括放水阀及其前后的短管,放水阀及其短管的直径为供、回水管径的1/10并不小于DN20。其位置通常设置在供、回水干管的低点和分段阀之间管段的低点。
一、安装范围
室外地沟内供热管道的安装范围,工程上一般是指锅炉房外墙至用户外墙或热力入口处。工程造价上是以建筑外第一个阀门井或建筑物外墙皮1.5m处为分界点。
二、安装时管材及阀门的选用
通常室外蒸汽管道应采用普通无缝钢管,凝结水和供、回热水管道一般采用螺纹钢管(螺旋缝电焊钢管、螺旋钢管)。管道拐弯采用煨制或冲压弯头,变径采用冲压大小头。阀门通常采用法兰式截止阀、单向阀。管道采用焊接及法兰连接。
与疏水器、排气阀、放水阀相连接的小直径管子,一般可采用黑铁管,成品管件、丝扣或焊接连接。排气阀、放水阀为丝扣式截止阀。
三、管道安装
(一)支架安装
1、支架的种类
支架由支撑结构和托持结构两部分组成。支撑结构通常为悬臂式或横梁式(角钢或槽钢)。托持结构称为支座(座),支架分为:活动支架、导向支架和固定支架三种。
活动支架:用于允许管道纵、横向位移的地方。
固定支架:用于承受管道由于温度变化所产生的推、拉应力,并不得发生任何方向位移的地方。
导向支架:用于只允许管道纵向位移的地方。
2、支架(支座)的安装位置
(1)活动支架的安装位置
安装在方形补偿器两侧的第一个支架及其水平臂的中点、管道 拐弯处(弯头)两侧的第一个支架。
(2)导向支架的安装位置
安装在补偿器与固定支架之间的直管段上。
(3)固定支架的安装位置
固定支架安装在两补偿器之间、热源出口(靠近外墙)、用户入口(靠近外墙)等处。
3、支架(支座)的安装间距(如下表所示)
4、支架(支座)的安装
支架应先进行制作、除锈、防腐,然后再进行安装。
(1)支架(座)的制作
一般采用角钢或槽钢制作支撑结构,用钢板加工焊制托座。
(2)支架(座)的除锈
除锈方法有手工法、机械法、酸洗法和喷砂法等。其中喷砂法除锈效率高、质量好;但要设除尘装置,否则,在喷砂过程中将产生大量灰尘,污染环境,有害人体健康。
(3)支架(座)的防腐
通常涂刷底、面漆各两遍;底漆为樟(红)丹防锈漆或铁红防锈漆,面漆为调和漆。
(4)支架(座)安装
地沟内供热管道支架(座)的安装分两次进行:第一次在筑沟壁时,将支撑结构(角钢或槽钢)预埋好;第二次在铺设管道时安装托持结构(托座)。
(二)铺设管道
1、管子的检查
管子的名称、规格、材质应符合设计要求;不得有裂纹、重皮、严重锈蚀等缺陷。
2、管子的除锈
通常采用喷砂法除锈,将管子外表面的锈污除掉,要求露出金属光泽面。
3、管子的防腐
通常在铺管之前,将管子外表面喷涂防锈底漆两遍。为了不影响焊口质量,每节管的两端各留出约50mm不涂漆。
4、管段的组对与焊接
在管沟边的平地上将管子组对、焊接成适当长度的管段。
管子的焊接程序为:坡口、对口、点焊和焊接四个步骤。
5、铺管与安装支座
(1)铺管
将组对焊接好的管段,以机械或人工由管沟边放入沟内的支架上,把管段连接成整条管道。然后将管道就为并调整间距、坡度及坡向。
(2)安装支座
安装固定支座时,其支座与管道和支架应焊接牢固。
安装活动、导向支座时,应考虑管道热伸后支架中心线与支座中心线不致有较大的偏差。因此,补偿器两侧的活动支架和直管段上的导向支座应偏心安装。其偏心方向以方形补偿器的中心点为基准,即补偿器左侧的支座向其支架中心线的左侧偏离;补偿器右侧的支架向其支架中心线的右侧偏离,偏心距离为该支架与固定支架之间管段热伸长量的1/2(通常取值50mm)如图所示。
活动、导向支座与管道焊接;导向支座的导向板与支架焊接。
(三)补偿器机器安装
1、补偿器的作用
补偿器也称为伸缩器,其作用为吸收管道因热涨而伸长的长度;补偿因冷缩而回缩的长度。
2、补偿器的种类
补偿器分为自然和人工补偿器两种。自然补偿器是供热管道中的自然拐弯,分为Z形和L形;人工补偿器有方形和套筒式补偿器两种。供热管道通常采用方形补偿器。
方形补偿器的优点是管道系统运行时,这种补偿器安全可靠,且平时不需要维修,缺点是占地面积较大。
3、方形补偿器的制作
制作方形补偿器时尽量用一根管子煨制而成,若使用2~3根管子煨制时,其接口(焊口)应设在垂直臂的中点。管子的材质应优于或相同于相应管道的管材材质;管子的壁厚,宜厚于相应管道的管材壁厚。
组对时,应在平台上进行,四个弯头均为90°,且在一个平面上。
4、方形补偿器的安装
一般情况下,供热管道自始至终并非所有管段都需要安装方形补偿器。实际工程中,有的管段需要安装方形补偿器;有的管段可不必安装方形补偿器。
当供热管道中有自然拐弯(即有Z形、L形自然补偿器)时,其弯头前、后的直管段又较短,可不设方形补偿器。
当供热管道中无自然拐弯时,应设方形补偿器;或者有自然拐弯,但其弯头前、后的直管段较长,也应在直管段上装设方形补偿器。
方形补偿器应设在两固定支架之间直管段的中点,安装时水平放置,其坡度、坡向与相应管道相同。
为了减小热态下(运行时)补偿器的弯曲应力,提高其补偿能力,安装方形补偿器时应进行预拉伸或预撑(即:不加热进行冷拉或冷撑)。拉伸的方法通常采用拉管器、手动葫芦,也可以采用千斤顶进行预撑。
四、供热管道的压力试验
室外供热管道安装完之后,应进行压力试验,以检查其强度和严密性。
1、试压介质和试验压力
通常采用水压试验;其试验压力标准为:强度试验压力值为工作压力的1.5倍,严密性试验压力值等于工作压力。
2、试压前的准备工作
在被试压管道的高点设放气阀,低点设放水阀;始、终端设堵板及压力表;接好水泵。
3、试压
试压时,先关闭低点放水阀。打开高点放气阀,向被试压管道内充水至满,排尽空气后关闭放气阀,然后以手压泵缓慢升压至强度试验压力,观测10分钟,若无压力下降或压降在0.05MPa以内时,降至工作压力,进行全面检修,以不渗、漏为合格。
1、保温的目的
供热管道进行保温的目的是为了减少热媒在输送过程中的热损失,使热媒维持一定的参数(压力、温度),以满足生产、生活和采暖的要求。
2、常用保温材料
(1)泡沫混凝土(泡沫水泥)
由普通水泥加入松香泡沫剂制成,多孔、轻。
(2)膨胀珍珠岩及其制品
珍珠岩是火山喷出的玻璃质熔岩,透明,呈圆形似珍珠故得名。将其粉碎,在高温下焙烧,呈圆形粉末状,很轻,一般以水泥粘合成瓦状。
(3)膨胀蛭石及其制品
蛭石,云母的风化物。将蛭石在高温下焙烧,呈一层层的小块状,褐色,很轻,将其以水泥粘合成瓦状。
(4)矿渣棉
矿渣棉有矿渣制成,灰色,呈短纤维状,很轻,刺人。
(5)玻璃棉
将玻璃在高温下熔化,再以高压蒸汽喷射抽丝而成,呈纤维状,很轻,刺人。
(6)岩棉
由岩石在高温下焙烧制成。呈纤维状,很轻。
3、供热管道的保温结构
供热管道的保温结构如图所示。由内向外是防腐层、保温层、保护层和色漆(或冷底子油)。
通常防腐层为底漆(樟丹或铁红防锈漆)两遍,不涂刷面漆。保温层有选定的保温材料组成。保护层分为石棉水泥、沥青玻璃丝布两种。明装的供热管道,为了表示管内输送介质的性质,一般是在保护层外涂上色漆。地沟内的供热管道为了防止湿气侵入保温层,不涂色漆而涂刷冷底子油。
4、供热管道的保温
地沟内供热管道的保温施工程序为:防腐层、保温层、保护层和涂刷冷底子油。
(1)涂刷防腐层
管道在铺设之前已涂刷底漆两遍。此次应将接口(焊口)、弯头和方形补偿器等处涂刷底漆两遍。铺管时若管身漆面有损伤处,也应予以补刷。
(2)保温层施工
保温层的施工有预制瓦砌筑、包扎、填充、浇灌和手工涂抹等五种方法。
其中最常用的是第一种方法。
预制瓦砌筑法,是用选定的保温材料先预制成瓦状。环绕管子一周保温瓦的块数,根据管径大小不同分为2~8块,瓦的厚度按设计规定,一般设计厚度有50、75、100mm;每块瓦的长度约为500mm。施工时将预制瓦砌筑在管道的外表面,纵、横接缝应错开,缝内填石棉灰泥,每块瓦的两端以直径1~2mm的铁丝捆扎。当管径DN≥150mm时,保温层外包一层铁丝网。
在管道的弯头处应留伸缩缝,缝内填石棉绳。在阀门、法兰等处可采用涂抹法施工。
(3)保护层施工
一般为石棉水泥保护层,其质量配比为:525号水泥53%,膨胀珍珠岩粉25%,四级石棉9%,碳酸钙13%,加水调和。
涂抹厚度10~15mm,要求厚度一致,光滑美观,底部不得出现鼓包。
(4)涂刷冷底子油
冷底子油是将沥青熔化,待冷却到100℃以下时,加入适量的汽油(沥青与汽油的质量比为1.2:2.5)拌和均匀。刷漆时,动作要快,要求均匀美观。
- 上一篇:管道保温技术的应用
- 下一篇:没有了
